新・土と生き物

R:多重比較の作図

2025-12-19 19:07:01
2025-12-19 19:13:34
目次

午前

  • 卒論手伝い(データ解析)

  • 授業

午後

  • 授業準備

  • 卒論手伝い(データ解析)

  • 論文書き

卒論の手伝いで多重比較の結果(処理間の差をアルファベットで描く)を描く方法を勉強した。

そもそも、多重比較の手法そのものに悩んでいるが、ひとまず、今回は、glmでモデル選択をしたのち、emmeans( )を使って推定周囲平均(Estimated Marginal Means)を用いて比較した。

#ライブラリ
library(tidyverse)
library(emmeans)
library(multcomp)

#仮想データの作成
##5地点で気温を計測し、反復は10とする。
set.seed(123)  # 再現性のため
temp <- c(runif(10, min = 5, max = 10), runif(10, min = 20, max = 25), runif(10, min = 20, max = 30), runif(10, min = 35, max = 55), runif(10, min = 5, max = 40)) #気温データ:各地点ごとにminとmaxを変更して10の乱数を発生
site <- rep(LETTERS[1:5], each=10) #地点データ:LETTERS[1:5]はアルファベットA~Eの意味
DF <- data.frame(temp, site)

#地点ごとの推定平均
(emm <- emmeans(model, ~site, type="response"))
#site response    SE df lower.CL upper.CL
#A        7.89 0.579 45     6.81     9.15
#B       22.62 1.660 45    19.51    26.22
#C       26.16 1.920 45    22.56    30.32
#D       45.76 3.360 45    39.47    53.05
#E       17.09 1.250 45    14.74    19.81

#多重比較の実行
pairs(emm, adjust="tukey")
#contrast ratio     SE df null t.ratio p.value
#A / B    0.349 0.0362 45    1 -10.143 <0.0001
#A / C    0.302 0.0313 45    1 -11.544 <0.0001
#A / D    0.172 0.0179 45    1 -16.932 <0.0001
#A / E    0.462 0.0479 45    1  -7.443 <0.0001
#B / C    0.865 0.0898 45    1  -1.400  0.6305
#B / D    0.494 0.0513 45    1  -6.788 <0.0001
#B / E    1.323 0.1370 45    1   2.700  0.0697
#C / D    0.572 0.0593 45    1  -5.388 <0.0001
#C / E    1.531 0.1590 45    1   4.100  0.0015
#D / E    2.678 0.2780 45    1   9.488 <0.0001

#p.valueが<0.05の組み合わせに異なるアルファベットを記したい!

#有意差のある組み合わせをアルファベットで記述してくれる!
(cld <- multcomp::cld(emm, adjust="tukey", Letters=letters))
#site response    SE df lower.CL upper.CL .group
#A        7.89 0.579 45     6.48     9.61  a    
#E       17.09 1.250 45    14.04    20.81   b   
#B       22.62 1.660 45    18.58    27.54   bc  
#C       26.16 1.920 45    21.48    31.85    c  
#D       45.76 3.360 45    37.58    55.71     d

#上記の結果にデータの最大*1.05列を準備して、ggplotでY軸の値として使う!
cld_df <- as.data.frame(cld) %>%
  mutate(y = max(DF$temp) * 1.05)

#作図
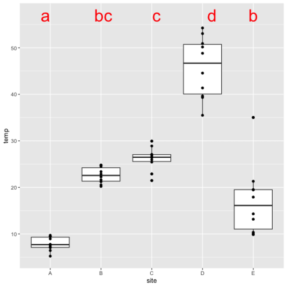
ggplot(data=DF, aes(x=site, y=temp)) +
  geom_boxplot() +
  geom_point() +
  geom_text(data=cld_df, aes(x=site, y=y, label=.group), col="red", size=10)

上記は全データの最高値の1.05倍の地点にアルファベットを配置している。

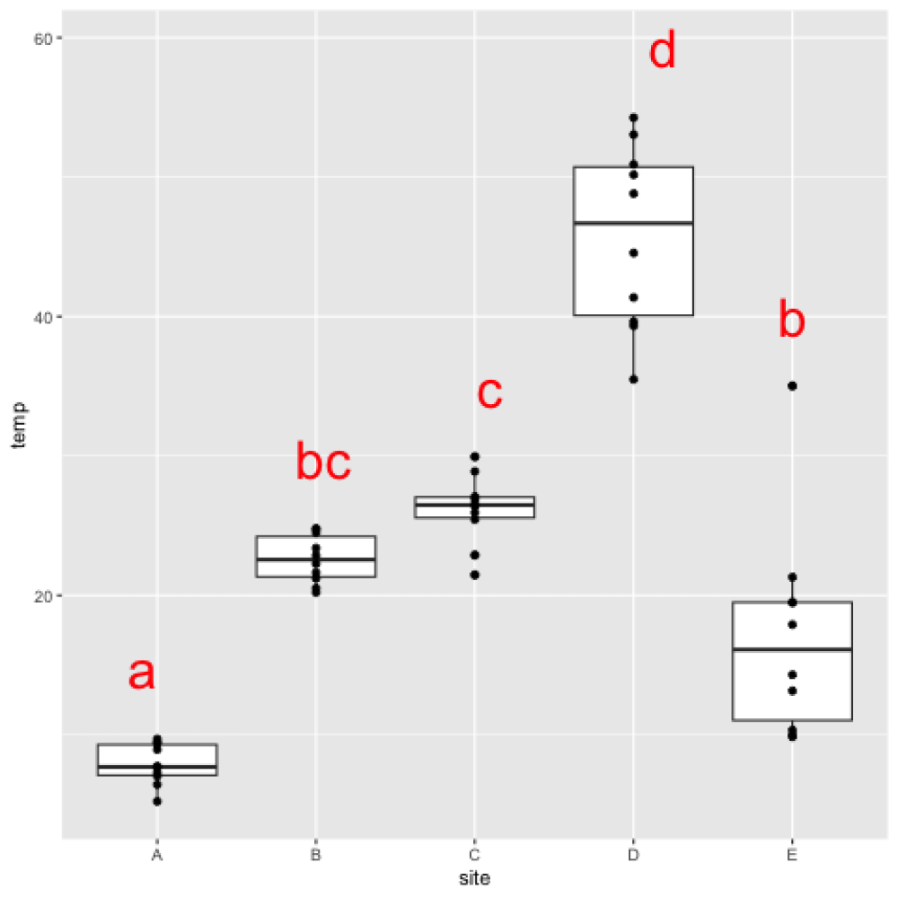
例えば、アルファベットを「各」データの最高値の上に表示したいこともある。

#上記が実行されているとする

#cldをデータフレームにする
cld_df <- as.data.frame(cld)

#各地点のmaxを計算し5を足した列を作成
##任意の数値を掛けると最大値によってデータからアルファベットの距離が異なる!
DF_max <- DF %>%
  group_by(site) %>%
  summarise(MAX=max(temp)+5)

#データの結合
DF_com <- left_join(cld_df, DF_max, by="site")

##作図
ggplot(data=DF, aes(x=site, y=temp)) +
  geom_boxplot() +
  geom_point() +
  geom_text(data=DF_com, aes(x=site, y=MAX, label=.group), col="red", size=10)

「max(temp)+5」で最高値+5の位置に描くことにしているが、ここを第3四分位にすれば箱の上に描けるはず。

この記事を書いた人

SK

ダンゴムシ・ワラジムシを研究しています! https://diversity.jpn.org/kara/index.html